跟小編一起來看看近期國內外電子材料領域都有哪些最新研究進展吧~
01 科研動態
1、Nature:用于高溫電容儲能的梯形共聚物
用于高溫下的電容式儲能,介電聚合物需要同時具有低電導率與高導熱性。這些性質看起來是無法同時實現的,也是現有聚合物基材料面臨的一個持續挑戰。
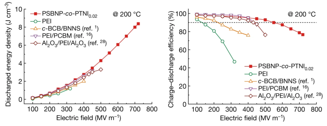
近日,上海交通大學等機構的研究人員制備得到了一種梯形共聚物,在高電場和高溫下表現出比現有聚合物低一個數量級以上的電導率。梯形共聚物具有5.34 J cm?3的放電能量密度,在200°C時充放電效率為90%,優于現有的介電聚合物和復合材料。梯形共聚物通過π-π堆疊相互作用自組裝成高度有序的陣列,從而產生 1.96 ± 0.06 W m?1K?1 的固有平面導熱系數。共聚物薄膜的高導熱性允許高效的焦耳散熱,因此在高溫和高電場下具有出色的循環穩定性。共聚物還被證明具有擊穿自愈能力,進一步表明了梯形結構在極端工作條件的高能量密度聚合物電容器的應用前景。該文章以“Ladderphane copolymers for high-temperature capacitive energy storage”發表于Nature上。

圖1. 不同材料放電能量密度與充放電效率比較
論文鏈接:https://doi.org/10.1038/s41586-022-05671-4
2、Adv. Mater.:超強高韌性熱固性環氧樹脂超支化拓撲結構和亞納尺度自由體積
熱固性環氧樹脂的強度和韌性通常是相互排斥的,高性能和快速可回收性也是如此。實驗測定的機械強度值通常遠低于其理論值。制備具有高模量、高韌性、超強強度和高效可回收性的熱固性環氧樹脂仍然是一個巨大的挑戰。
近日,中南民族大學等機構的研究人員首次利用點擊化學技術將酰亞胺結構引入環氧樹脂中,制備了一系列拓撲結構可控的超支化聚酰亞胺環氧樹脂(Bn),進一步將其引入復合商業化通用環氧樹脂(DGEBA)中。結果發現,Bn在同時DGEBA的強度、模量、韌性、耐低溫性和降解性方面表現出優異的綜合功能,隨著自由體積分數、自由體積孔尺寸和孔平均尺寸分布的降低,共聚物的強度和韌性呈現出了先增加后降低的變化趨勢。這種提升歸因于線性和超支化拓撲結構的分子混合物的均勻分子空穴或自由體積。另外,首次提出了環氧樹脂分子自由體積的精確測量和控制。該項研究成功解決了強度和韌性之間以及使用時的高性能和降解時的高效率之間的兩個沖突。這些發現為設計超強、高韌和可回收的熱固性環氧樹脂提供了一條有效途徑。該文章以“Ultra-Strong and High-Tough Thermoset Epoxy Resins from Hyperbranched Topological Structure and Subnanoscaled Free Volume”發表于Adv. Mater.上。
圖2. Bn/DGEBA共聚物的增強增韌機制
論文鏈接:https://doi.org/10.1002/adma.202308434
3、J. Electron. Packaging:持續高溫作業下底部填充膠粘彈性的微觀結構演化
汽車發動機罩下電子設備的工作溫度高達150–200?°C,使用時長接近10?年。消費電子產品一般在55–85℃的溫度下運行,使用壽命為3-5年。底部填充材料用于為細間距陣列焊點提供保護,并滿足可靠性要求。
近日,美國奧本大學的研究人員將多種不同的底部填充材料置于汽車發動機罩溫度下,研究長時間等溫暴露對底部填充膠微觀結構和動態力學性能的影響。將兩種不同的底部填充材料進行三種不同的等溫暴露(低于、接近和高于玻璃化轉變溫度),研究了儲能模量、損耗模量、tanδ等動態力學粘彈性及其各自的玻璃化轉變溫度。研究人員采用偏光顯微鏡測量氧化層厚度,對底部填充膠的氧化行為進行了實驗研究,并利用動態力學分析儀(DMA)研究了底部填充膠的動態力學性能對其力學性能的影響。結果表明,等溫老化會使底部填充物氧化,從而顯著改變材料的力學性能。該研究為底部填充膠材料老化失效行為提供了參考。該文章以“Microstructural Evolution of Viscoelastic Properties of Underfills Under Sustained High Temperature Operation”發表于J. Electron. Packaging上。
圖3. 150℃老化下不同時間底部填充膠的氧化層
論文鏈接:https://doi.org/10.1115/1.4052715
4、J. Electron. Packaging:氮化硼/環氧樹脂復合材料對倒裝芯片可靠性的影響
在電-熱-機械耦合的作用下,容易發生電子器件的故障和性能下降,已成為微電子封裝中一個重大的可靠性問題。
近日,中南大學等機構的研究人員研究了利用熱界面材料(TIM)提高倒裝芯片可靠性的方法。首先,建立了倒裝芯片封裝系統的三維有限元模型,并對電-熱力多場耦合進行了有限元模擬。然后,分析了高電流密度下倒裝芯片的焦耳熱、溫度分布、熱應力和變形。同時,研究了TIM的導熱系數和工作電流對倒裝芯片可靠性的影響。結果表明,當TIM的熱導率從0.2 W/m·K增加至6?W/m·K時,倒裝芯片的最高溫度和最大等效應力分別降低了6.35?°C和14.6?MPa。最后,通過實驗與仿真相結合的方法,分析了熱界面材料對倒裝芯片可靠性的影響。進一步證實了制備的高導熱氮化硼納米片/環氧樹脂復合材料有效地提高了電子器件的可靠性和使用壽命。該文章以“Effect of Hexagonal-Boron Nitride/Epoxy and BNNS/Epoxy Composite Materials on the Reliability of Flip Chip”發表于J. Electron. Packaging上。
圖4. 倒裝芯片焊點的溫度分布:
(a)無TIM(b)、(c)、(d)TIM 熱導率分別為0.2、0.5?、6? W/m·K
論文鏈接:https://doi.org/10.1115/1.4051468
02 技術動態
1、關于Intel玻璃基板的簡要介紹
此前,英特爾(Intel)在其年度發布會上宣布,到2030年,將實現在一塊封裝芯片中集成1萬億個晶體管,同時會上還展示了有關玻璃基板的更多細節。另外,在加利福尼亞州圣何塞舉行的“英特爾創新”活動上,Intel宣布玻璃基板將在這個十年的后半程實現商業首發。本文將簡單介紹什么是玻璃基板以及它與傳統有機基板的不同之處。
(1)玻璃基板是一項全新的技術
圖5為Intel展示的一顆功能齊全的測試芯片,該芯片使用75 μm的玻璃通孔(TGV),橫縱比為20:1,核心厚度為1 mm。大概十年前,Intel這家半導體巨頭公司就開始進行玻璃基板方面的研發工作,至今投入已經超10億美元,研發團隊約600人規模,同時還建立了一條全新的生產線。
圖5. Intel展示的使用玻璃基板的測試芯片
玻璃基板可以實現比傳統有機基板更緊密的信號間距,對于服務器或數據中心使用的高功耗大芯片來說,使用玻璃基板在速率和功耗方面都具有一定優勢。同時,隨Chiplet概念的發展,玻璃基板也有助于將更多芯粒封裝到一個系統中。
(2)技術優點
玻璃的成分主要是二氧化硅,在高溫下性質更加穩定。由于高性能芯片往往散熱量巨大,玻璃基板在高溫下的熱穩定性和機械穩定性將使芯片的熱管理變得更加高效。其次,為避免封裝在生產過程中彎曲,小芯片之間必須要有非常高密度的互聯,而玻璃基板可滿足更高的互聯密度需求。另外,玻璃具有更高的平坦度,這也將使得光刻和封裝變得更加容易。Intel內部消息稱使用玻璃基板可以使圖案的失真降低50%,以提高光刻的聚焦深度,從而使半導體制造更加精確。
圖6. Intel玻璃基板
(3)與封裝和Chiplet的聯系
玻璃基板的提出與先進封裝和Chiplet概念密不可分。基板是用來承載芯片的介質,是芯片封裝的重要部分,基板除了可以確保芯片的結構穩定性,還扮演將信號從芯片內部傳輸到封裝結構的角色。因此玻璃基板的優越機械性能和高互聯密度將助力產生更高性能的芯片封裝。
玻璃基板尤其適用于Chiplet概念,可以將更多的晶體管容納到一個封裝結構中。得益于玻璃基板的更高互聯密度,同樣大小的基板可容納更多芯粒之間的連接。換句話說,可以在同樣的封裝中集成更多的芯粒。
圖7. 玻璃基板是對先進封裝技術的補充
(4)應用時機
玻璃基板除了能克服諸如互聯密度和耐高溫等方面的挑戰之外,在制造用于數據人工智能(AI)和高性能計算(HPC)的大芯片時,機械和電氣性能方面也比有機基板優越,可以承載的功率和數據互聯是有機基板的10倍。Intel認為,在未來幾年內,使用有機材料在硅封裝上擴增晶體管將達到極限,玻璃基板將是半導體行業下一步重要發展方向。
(5)需要考慮的問題
Intel的技術開發執行副總裁Ann Kelleher認為玻璃基板的技術創新已經完成,接下來需要考慮生產成本問題。不像有機基板經過大量的測試和長期的應用,玻璃基板的生產和應用將更加昂貴,將在初期面臨收益率問題。更為重要的是,玻璃基板需要建立一套商業生產生態系統,包括必要的生產工具和供應能力。這也是Intel與玻璃處理設備與材料供應商之間密切合作的原因。另外Intel還需要為這種新型基板的封裝測試尋找外包商。
一家總部位于加州的芯片制造商計劃適時向Intel晶圓代工廠提供玻璃基板,并有信心將成本降至與現有有機基板同等水平。同時Intel認為玻璃基板和有機基板在未來幾年將共存一段時間。
總的來說,玻璃基板將是一次重大的技術轉型,將為Intel的技術競爭力帶來飛躍,尤其是在為人工智能和數據中心服務的高端芯片方面。
(source: five facts you need to grasp to understand Intel’s glass substrate, EDN)